Taskflow  3.2.0-Master-Branch
Loading...
Searching...
No Matches
Conditional Tasking

Parallel workloads often require making control-flow decisions across dependent tasks. Taskflow supports an very efficient interface of conditional tasking for users to implement general control flow such as dynamic flow, cycles, and conditionals that are otherwise difficult to do with existing frameworks.

Create a Condition Task

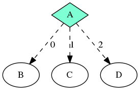
A condition task evalutes a set of instructions and returns an integer index of the next successor task to execute. The index is defined with respect to the order of its successor construction. The following example creates an if-else block using a single condition task.

1: tf::Taskflow taskflow;
2:
3: auto [init, cond, yes, no] = taskflow.emplace(
4: [] () { },
5: [] () { return 0; },
6: [] () { std::cout << "yes\n"; },
7: [] () { std::cout << "no\n"; }
8: );
9:
10: cond.succeed(init)
11: .precede(yes, no); // executes yes if cond returns 0
12: // executes no if cond returns 1
Task emplace(C &&callable)
creates a static task
Definition flow_builder.hpp:742
Task & succeed(Ts &&... tasks)
adds precedence links from other tasks to this
Definition task.hpp:428
Task & precede(Ts &&... tasks)
adds precedence links from this to other tasks
Definition task.hpp:420
class to create a taskflow object
Definition core/taskflow.hpp:73
dot_conditional-tasking-if-else.png

Line 5 creates a condition task cond and line 11 creates two dependencies from cond to two other tasks, yes and no. With this order, when cond returns 0, the execution moves on to task yes. When cond returns 1, the execution moves on to task no.

Attention
It is your responsibility to ensure the return of a condition task goes to a correct successor task. If the return falls beyond the range of the successors, the executor will not schedule any tasks.

Condition task can go cyclic to describe iterative control flow. The example below implements a simple yet commonly used feedback loop through a condition task (line 7-10) that returns a random binary value. If the return value from cond is 0, it loops back to itself, or otherwise to stop.

1: tf::Taskflow taskflow;
2:
3: tf::Task init = taskflow.emplace([](){}).name("init");
4: tf::Task stop = taskflow.emplace([](){}).name("stop");
5:
6: // creates a condition task that returns 0 or 1
7: tf::Task cond = taskflow.emplace([](){
8: std::cout << "flipping a coin\n";
9: return std::rand() % 2;
10: }).name("cond");
11:
12: // creates a feedback loop {0: cond, 1: stop}
13: init.precede(cond);
14: cond.precede(cond, stop); // returns 0 to 'cond' or 1 to 'stop'
15:
16: executor.run(taskflow).wait();
class to create a task handle over a node in a taskflow graph
Definition task.hpp:187
T rand(T... args)
dot_conditional-tasking-1.png

A taskflow of complex control flow often just takes a few lines of code to implement, and different control flow blocks may run in parallel. The code below creates another taskflow with three condition tasks.

tf::Taskflow taskflow;
tf::Task A = taskflow.emplace([](){}).name("A");
tf::Task B = taskflow.emplace([](){}).name("B");
tf::Task C = taskflow.emplace([](){}).name("C");
tf::Task D = taskflow.emplace([](){}).name("D");
tf::Task E = taskflow.emplace([](){}).name("E");
tf::Task F = taskflow.emplace([](){}).name("F");
tf::Task G = taskflow.emplace([](){}).name("G");
tf::Task H = taskflow.emplace([](){}).name("H");
tf::Task I = taskflow.emplace([](){}).name("I");
tf::Task K = taskflow.emplace([](){}).name("K");
tf::Task L = taskflow.emplace([](){}).name("L");
tf::Task M = taskflow.emplace([](){}).name("M");
tf::Task cond_1 = taskflow.emplace([](){ return std::rand()%2; }).name("cond_1");
tf::Task cond_2 = taskflow.emplace([](){ return std::rand()%2; }).name("cond_2");
tf::Task cond_3 = taskflow.emplace([](){ return std::rand()%2; }).name("cond_3");
A.precede(B, F);
B.precede(C);
C.precede(D);
D.precede(cond_1);
E.precede(K);
F.precede(cond_2);
H.precede(I);
I.precede(cond_3);
L.precede(M);
cond_1.precede(B, E); // return 0 to 'B' or 1 to 'E'
cond_2.precede(G, H); // return 0 to 'G' or 1 to 'H'
cond_3.precede(cond_3, L); // return 0 to 'cond_3' or 1 to 'L'
taskflow.dump(std::cout);
void dump(std::ostream &ostream) const
dumps the taskflow to a DOT format through a std::ostream target
Definition core/taskflow.hpp:363

The above code creates three condition tasks: (1) a condition task cond_1 that loops back to B on returning 0, or proceeds to E on returning 1, (2) a condition task cond_2 that goes to G on returning 0, or H on returning 1, (3) a condition task cond_3 that loops back to itself on returning 0, or proceeds to L on returning 1

dot_conditional-tasking-2.png

You can use condition tasks to create cycles as long as the graph does not introduce task race during execution. However, cycles are not allowed in non-condition tasks.

Note
Conditional tasking lets you make in-task control-flow decisions to enable end-to-end parallelism, instead of resorting to client-side partition or synchronizing your task graph at the decision points of control flow.

Understand our Task-level Scheduling

In order to understand how an executor schedules condition tasks, we define two dependency types, strong dependency and weak dependency. A strong dependency is a preceding link from a non-condition task to another task. A weak dependency is a preceding link from a condition task to another task. The number of dependents of a task is the sum of strong dependency and weak dependency. The table below lists the strong dependency and weak dependency numbers of each task in the previous example.

task strong dependency weak dependency dependents
A 0 0 0
B 1 1 2
C 1 0 1
D 1 0 1
E 0 1 1
F 1 0 1
G 0 1 1
H 0 1 1
I 1 0 1
K 1 0 1
L 0 1 1
M 1 0 1
cond_1 1 0 1
cond_2 1 0 1
cond_3 1 1 2

You can query the number of strong dependents, the number of weak dependents, and the number of dependents of a task.

1: tf::Taskflow taskflow;
2:
3: tf::Task task = taskflow.emplace([](){});
4:
5: // ... add more tasks and preceding links
6:
7: std::cout << task.num_dependents() << '\n';
8: std::cout << task.num_strong_dependents() << '\n';
9: std::cout << task.num_weak_dependents() << '\n';
size_t num_dependents() const
queries the number of predecessors of the task
Definition task.hpp:504
size_t num_strong_dependents() const
queries the number of strong dependents of the task
Definition task.hpp:509
size_t num_weak_dependents() const
queries the number of weak dependents of the task
Definition task.hpp:514

When you submit a task to an executor, the scheduler starts with tasks of zero dependents (both zero strong and weak dependencies) and continues to execute successive tasks whenever their strong dependencies are met. However, the scheduler skips this rule when executing a condition task and jumps directly to its successors indexed by the return value.

dot_task_level_scheduling.png

Each task has an atomic join counter to keep track of strong dependents that are met at runtime. When a task completes, the join counter is restored to the task's strong dependency number in the graph, such that the subsequent execution can reuse the counter again.

Example

Let's take a look at an example to understand how task-level scheduling works. Suppose we have the following taskflow of one condition task cond that forms a loop to itself on returning 0 and moves on to stop on returning 1:

dot_conditional-tasking-1.png

The scheduler starts with init task because it has no dependencies (both strong and weak dependencies). Then, the scheduler moves on to the condition task cond. If cond returns 0, the scheduler enqueues cond and runs it again. If cond returns 1, the scheduler enqueues stop and then moves on.

Avoid Common Pitfalls

Condition tasks are handy in creasing dynamic and cyclic control flows, but they are also easy to make mistakes. It is your responsibility to ensure a taskflow is properly conditioned. Top things to avoid include no source tasks to start with and task race. The figure below shows common pitfalls and their remedies.

dot_conditional-tasking-pitfalls.png

In the error1 scenario, there is no source task for the scheduler to start with, and the simplest fix is to add a task S that has no dependents. In the error2 scenario, D might be scheduled twice by E through the strong dependency and C through the weak dependency (on returning 1). To fix this problem, you can add an auxiliary task D-aux to break the mixed use of strong dependency and weak dependency. In the risky scenario, task X may be raced by M and P if M returns 0 and P returns 1.

Attention
It is your responsibility to ensure a written taskflow graph is properly conditioned. We suggest that you Understand our Task-level Scheduling and infer if task race exists in the execution of your graph.

Implement Control-flow Graphs

Implement If-Else Control Flow

You can use conditional tasking to implement if-else control flow. The following example creates a nested if-else control flow diagram that executes three condition tasks to check the range of i.

tf::Taskflow taskflow;
int i;
// create three condition tasks for nested control flow
auto initi = taskflow.emplace([&](){ i=3; });
auto cond1 = taskflow.emplace([&](){ return i>1 ? 1 : 0; });
auto cond2 = taskflow.emplace([&](){ return i>2 ? 1 : 0; });
auto cond3 = taskflow.emplace([&](){ return i>3 ? 1 : 0; });
auto equl1 = taskflow.emplace([&](){ std::cout << "i=1\n"; });
auto equl2 = taskflow.emplace([&](){ std::cout << "i=2\n"; });
auto equl3 = taskflow.emplace([&](){ std::cout << "i=3\n"; });
auto grtr3 = taskflow.emplace([&](){ std::cout << "i>3\n"; });
initi.precede(cond1);
cond1.precede(equl1, cond2); // goes to cond2 if i>1
cond2.precede(equl2, cond3); // goes to cond3 if i>2
cond3.precede(equl3, grtr3); // goes to grtr3 if i>3
dot_conditional-tasking-nested-if-else.png

Implement Switch Control Flow

You can use conditional tasking to implement switch control flow. The following example creates a switch control flow diagram that executes one of the three cases at random using four condition tasks.

tf::Taskflow taskflow;
auto [source, swcond, case1, case2, case3, target] = taskflow.emplace(
[](){ std::cout << "source\n"; },
[](){ std::cout << "switch\n"; return rand()%3; },
[](){ std::cout << "case 1\n"; return 0; },
[](){ std::cout << "case 2\n"; return 0; },
[](){ std::cout << "case 3\n"; return 0; },
[](){ std::cout << "target\n"; }
);
source.precede(swcond);
swcond.precede(case1, case2, case3);
target.succeed(case1, case2, case3);
dot_conditional-tasking-switch.png

Assuming swcond returns 1, the program outputs:

source
switch
case 2
target

Keep in mind, both switch and case tasks must be described as condition tasks. The following implementation is a common mistake in which case tasks are not described as condition tasks.

// wrong implementation of switch control flow using only one condition task
tf::Taskflow taskflow;
auto [source, swcond, case1, case2, case3, target] = taskflow.emplace(
[](){ std::cout << "source\n"; },
[](){ std::cout << "switch\n"; return rand()%3; },
[](){ std::cout << "case 1\n"; },
[](){ std::cout << "case 2\n"; },
[](){ std::cout << "case 3\n"; },
[](){ std::cout << "target\n"; } // target has three strong dependencies
);
source.precede(swcond);
swcond.precede(case1, case2, case3);
target.succeed(case1, case2, case3);
dot_conditional-tasking-switch-wrong.png

In this faulty implementation, task target has three strong dependencies but only one of them will be met. This is because swcond is a condition task, and only one case task will be executed depending on the return of swcond.

Implement Do-While-Loop Control Flow

You can use conditional tasking to implement do-while-loop control flow. The following example creates a do-while-loop control flow diagram that repeatedly increments variable i five times using one condition task.

tf::Taskflow taskflow;
int i;
auto [init, body, cond, done] = taskflow.emplace(
[&](){ std::cout << "i=0\n"; i=0; },
[&](){ std::cout << "i++ => i="; i++; },
[&](){ std::cout << i << '\n'; return i<5 ? 0 : 1; },
[&](){ std::cout << "done\n"; }
);
init.precede(body);
body.precede(cond);
cond.precede(body, done);
dot_conditional-tasking-do-while.png

The program outputs:

i=0
i++ => i=1
i++ => i=2
i++ => i=3
i++ => i=4
i++ => i=5
done

Implement While-Loop Control Flow

You can use conditional tasking to implement while-loop control flow. The following example creates a while-loop control flow diagram that repeatedly increments variable i five times using two condition task.

tf::Taskflow taskflow;
int i;
auto [init, cond, body, back, done] = taskflow.emplace(
[&](){ std::cout << "i=0\n"; i=0; },
[&](){ std::cout << "while i<5\n"; return i < 5 ? 0 : 1; },
[&](){ std::cout << "i++=" << i++ << '\n'; },
[&](){ std::cout << "back\n"; return 0; },
[&](){ std::cout << "done\n"; }
);
init.precede(cond);
cond.precede(body, done);
body.precede(back);
back.precede(cond);
dot_conditional-tasking-while.png

The program outputs:

i=0
while i<5
i++=0
back
while i<5
i++=1
back
while i<5
i++=2
back
while i<5
i++=3
back
while i<5
i++=4
back
while i<5
done

Notice that, when you implement a while-loop block, you cannot direct a dependency from the body task to the loop condition task. Doing so will introduce a strong dependency between the body task and the loop condition task, and the loop condition task will never be executed. The following code shows a common faulty implementation of while-loop control flow.

// wrong implementation of while-loop using only one condition task
tf::Taskflow taskflow;
int i;
auto [init, cond, body, done] = taskflow.emplace(
[&](){ std::cout << "i=0\n"; i=0; },
[&](){ std::cout << "while i<5\n"; return i < 5 ? 0 : 1; },
[&](){ std::cout << "i++=" << i++ << '\n'; },
[&](){ std::cout << "done\n"; }
);
init.precede(cond);
cond.precede(body, done);
body.precede(cond);
dot_conditional-tasking-while-wrong.png

In the taskflow diagram above, the scheduler starts with init and then decrements the strong dependency of the loop condition task, while i<5. After this, there remains one strong dependency, i.e., introduced by the loop body task, i++. However, task i++ will not be executed until the loop condition task returns 0, causing a deadlock.

Create a Multi-condition Task

A multi-condition task is a generalized version of conditional tasking. In some cases, applications need to jump to multiple branches from a parent task. This can be done by creating a multi-condition task which allows a task to select one or more successor tasks to execute. Similar to a condition task, a multi-condition task returns a vector of integer indices that indicate the successors to execute when the multi-condition task completes. The index is defined with respect to the order of successors preceded by a multi-condition task. For example, the following code creates a multi-condition task, A, that informs the scheduler to run on its two successors, B and D.

tf::Executor executor;
tf::Taskflow taskflow;
auto A = taskflow.emplace([&]() -> tf::SmallVector<int> {
std::cout << "A\n";
return {0, 2};
}).name("A");
auto B = taskflow.emplace([&](){ std::cout << "B\n"; }).name("B");
auto C = taskflow.emplace([&](){ std::cout << "C\n"; }).name("C");
auto D = taskflow.emplace([&](){ std::cout << "D\n"; }).name("D");
A.precede(B, C, D);
executor.run(taskflow).wait();
class to create an executor for running a taskflow graph
Definition executor.hpp:50
tf::Future< void > run(Taskflow &taskflow)
runs a taskflow once
Definition executor.hpp:1573
class to define a vector optimized for small array
Definition small_vector.hpp:918
dot_multi-condition-task-1.png
Note
The return type of a multi-condition task is tf::SmallVector, which provides C++ vector-style functionalities but comes with small buffer optimization.

One important application of conditional tasking is implementing iterative control flow. You can use multi-condition tasks to create multiple loops that run concurrently. The following code creates a sequential chain of four loops in which each loop increments a counter variable ten times. When the program completes, the value of the counter variable is 40.

tf::Executor executor;
tf::Taskflow taskflow;
std::atomic<int> counter{0};
auto loop = [&, i=bool{true}, c = int(0)]() mutable -> tf::SmallVector<int> {
if(i) {
i = false;
return {0, -1};
}
else {
counter.fetch_add(1, std::memory_order_relaxed);
return {++c < 10 ? 0 : -1};
}
}
auto A = taskflow.emplace([](){});
auto B = taskflow.emplace(loop);
auto C = taskflow.emplace(loop);
auto D = taskflow.emplace(loop);
A.precede(B);
B.precede(B, C);
C.precede(C, D);
D.precede(D);
executor.run(taskflow).wait(); // counter == 40
T forward(T... args)
dot_multi-condition-task-2.png
Attention
It is your responsibility to ensure the return of a multi-condition task goes to a correct successor task. If a returned index falls outside the successor range of a multi-condition task, the scheduler will skip that index without doing anything.