Taskflow  3.2.0-Master-Branch
Loading...
Searching...
No Matches
Static Tasking

This chapter demonstrates how to create a static task dependency graph. Static tasking captures the static parallel structure of a decomposition and is defined only by the program itself. It has a flat task hierarchy and cannot spawn new tasks from a running dependency graph.

Create a Task Dependency Graph

A task in Taskflow is a callable object for which the operation std::invoke is applicable. It can be either a functor, a lambda expression, a bind expression, or a class objects with operator() overloaded. All tasks are created from tf::Taskflow, the class that manages a task dependency graph. Taskflow provides two methods, tf::Taskflow::placeholder and tf::Taskflow::emplace to create a task.

1: tf::Taskflow taskflow;
2: tf::Task A = taskflow.placeholder();
3: tf::Task B = taskflow.emplace([] () { std::cout << "task B\n"; });
4:
5: auto [D, E, F] = taskflow.emplace(
6: [](){ std::cout << "Task A\n"; },
7: [](){ std::cout << "Task B\n"; },
8: [](){ std::cout << "Task C\n"; }
9: );
Task emplace(C &&callable)
creates a static task
Definition flow_builder.hpp:742
Task placeholder()
creates a placeholder task
Definition flow_builder.hpp:820
class to create a task handle over a node in a taskflow graph
Definition task.hpp:187
class to create a taskflow object
Definition core/taskflow.hpp:73

Debrief:

  • Line 1 creates a taskflow object, or a graph
  • Line 2 creates a placeholder task without work (i.e., callable)
  • Line 3 creates a task from a given callable object and returns a task handle
  • Lines 5-9 create three tasks in one call using C++ structured binding coupled with std::tuple

Each time you create a task, the taskflow object creates a node in the task graph and returns a task handle of type tf::Task. A task handle is a lightweight object that wraps up a particular node in a graph and provides a set of methods for you to assign different attributes to the task such as adding dependencies, naming, and assigning a new work.

1: tf::Taskflow taskflow;
2: tf::Task A = taskflow.emplace([] () { std::cout << "create a task A\n"; });
3: tf::Task B = taskflow.emplace([] () { std::cout << "create a task B\n"; });
4:
5: A.name("TaskA");
6: A.work([] () { std::cout << "reassign A to a new callable\n"; });
7: A.precede(B);
8:
9: std::cout << A.name() << std::endl; // TaskA
10: std::cout << A.num_successors() << std::endl; // 1
11: std::cout << A.num_dependents() << std::endl; // 0
12:
13: std::cout << B.num_successors() << std::endl; // 0
14: std::cout << B.num_dependents() << std::endl; // 1
const std::string & name() const
queries the name of the task
Definition task.hpp:499
size_t num_successors() const
queries the number of successors of the task
Definition task.hpp:519
Task & work(C &&callable)
assigns a callable
Definition task.hpp:582
Task & precede(Ts &&... tasks)
adds precedence links from this to other tasks
Definition task.hpp:420
size_t num_dependents() const
queries the number of predecessors of the task
Definition task.hpp:504
T endl(T... args)

Debrief:

  • Line 1 creates a taskflow object
  • Lines 2-3 create two tasks A and B
  • Lines 5-6 assign a name and a work to task A, and add a precedence link to task B
  • Line 7 adds a dependency link from A to B
  • Lines 9-14 dump the task attributes

Taskflow uses general-purpose polymorphic function wrapper, std::function, to store and invoke a callable in a task. You need to follow its contract to create a task. For example, the callable to construct a task must be copyable, and thus the code below won't compile:

taskflow.emplace([ptr=std::make_unique<int>(1)](){
std::cout << "captured unique pointer is not copyable";
});
T forward(T... args)

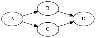
Visualize a Task Dependency Graph

You can dump a taskflow to a DOT format and visualize the graph using free online tools such as GraphvizOnline and WebGraphviz.

1: #include <taskflow/taskflow.hpp>
2:
3: int main() {
4:
5: tf::Taskflow taskflow;
6:
7: // create a task dependency graph
8: tf::Task A = taskflow.emplace([] () { std::cout << "Task A\n"; });
9: tf::Task B = taskflow.emplace([] () { std::cout << "Task B\n"; });
10: tf::Task C = taskflow.emplace([] () { std::cout << "Task C\n"; });
11: tf::Task D = taskflow.emplace([] () { std::cout << "Task D\n"; });
12:
13: // add dependency links
14: A.precede(B);
15: A.precede(C);
16: B.precede(D);
17: C.precede(D);
18:
19: taskflow.dump(std::cout);
20: }
void dump(std::ostream &ostream) const
dumps the taskflow to a DOT format through a std::ostream target
Definition core/taskflow.hpp:363

Debrief:

  • Line 5 creates a taskflow object
  • Lines 8-11 create four tasks
  • Lines 14-17 add four task dependencies
  • Line 19 dumps the taskflow in the DOT format through standard output
dot_simple.png

Modify Task Attributes

This example demonstrates how to modify a task's attributes using methods defined in the task handler.

1: #include <taskflow/taskflow.hpp>
2:
3: int main() {
4:
5: tf::Taskflow taskflow;
6:
7: std::vector<tf::Task> tasks = {
8: taskflow.placeholder(), // create a task with no work
9: taskflow.placeholder() // create a task with no work
10: };
11:
12: tasks[0].name("This is Task 0");
13: tasks[1].name("This is Task 1");
14: tasks[0].precede(tasks[1]);
15:
16: for(auto task : tasks) { // print out each task's attributes
17: std::cout << task.name() << ": "
18: << "num_dependents=" << task.num_dependents() << ", "
19: << "num_successors=" << task.num_successors() << '\n';
20: }
21:
22: taskflow.dump(std::cout); // dump the taskflow graph
23:
24: tasks[0].work([](){ std::cout << "got a new work!\n"; });
25: tasks[1].work([](){ std::cout << "got a new work!\n"; });
26:
27: return 0;
28: }

The output of this program looks like the following:

This is Task 0: num_dependents=0, num_successors=1
This is Task 1: num_dependents=1, num_successors=0
digraph Taskflow {
"This is Task 1";
"This is Task 0";
"This is Task 0" -> "This is Task 1";
}

Debrief:

  • Line 5 creates a taskflow object
  • Lines 7-10 create two placeholder tasks with no works and stores the corresponding task handles in a vector
  • Lines 12-13 name the two tasks with human-readable strings
  • Line 14 adds a dependency link from the first task to the second task
  • Lines 16-20 print out the name of each task, the number of dependents, and the number of successors
  • Line 22 dumps the task dependency graph to a GraphViz Online format (dot)
  • Lines 24-25 assign a new target to each task

You can change the name and work of a task at anytime before running the graph. The later assignment overwrites the previous values.

Traverse Adjacent Tasks

You can iterate the successor list and the dependent list of a task by using tf::Task::for_each_successor and tf::Task::for_each_dependent, respectively. Each method takes a lambda and applies it to a successor or a dependent being traversed.

// traverse all successors of my_task
my_task.for_each_successor([s=0] (tf::Task successor) mutable {
std::cout << "successor " << s++ << '\n';
});
// traverse all dependents of my_task
my_task.for_each_dependent([d=0] (tf::Task dependent) mutable {
std::cout << "dependent " << d++ << '\n';
});

Attach User Data to a Task

You can attach custom data to a task using tf::Task::data(void*) and access it using tf::Task::data(). Each node in a taskflow is associated with a C-styled data pointer (i.e., void*) you can use to point to user data and access it in the body of a task callable. The following example attaches an integer to a task and accesses that integer through capturing the data in the callable.

int my_data = 5;
tf::Task task = taskflow.placeholder();
task.data(&my_data)
.work([task](){
int my_date = *static_cast<int*>(task.data());
std::cout << "my_data: " << my_data;
});
Task & data(void *data)
assigns pointer to user data
Definition task.hpp:614

Notice that you need to create a placeholder task first before assigning it a work callable. Only this way can you capture that task in the lambda and access its attached data in the lambda body.

Attention
It is your responsibility to ensure that the attached data stay alive during the execution of its task.

Understand the Lifetime of a Task

A task lives with its graph and belongs to only a graph at a time, and is not destroyed until the graph gets cleaned up. The lifetime of a task refers to the user-given callable object, including captured values. As long as the graph is alive, all the associated tasks exist.

Attention
It is your responsibility to keep tasks and graph alive during their execution.

Move a Taskflow

You can construct or assign a taskflow from a moved taskflow. Moving a taskflow to another will result in transferring the underlying graph data structures from one to the other.

tf::Taskflow taskflow1, taskflow3;
taskflow1.emplace([](){});
// move-construct taskflow2 from taskflow1
tf::Taskflow taskflow2(std::move(taskflow1));
assert(taskflow2.num_tasks() == 1 && taskflow1.num_tasks() == 0);
// move-assign taskflow3 to taskflow2
taskflow3 = std::move(taskflow2);
assert(taskflow3.num_tasks() == 1 && taskflow2.num_tasks() == 0);
size_t num_tasks() const
queries the number of tasks
Definition core/taskflow.hpp:323
T move(T... args)

You can only move a taskflow to another while that taskflow is not being run by an executor. Moving a running taskflow can result in undefined behavior. Please see Execute a Taskflow with Transferred Ownership for more details.