Taskflow  3.2.0-Master-Branch
Loading...
Searching...
No Matches
Dynamic Tasking

It is very common for a parallel program to spawn task dependency graphs at runtime. In Taskflow, we call this dynamic tasking.

Create a Subflow

Dynamic tasks are those created during the execution of a graph. These tasks are spawned from a parent task and are grouped together to a subflow dependency graph. Taskflow has an unified interface for static and dynamic tasking. To create a subflow, emplace a callable that takes an argument of type tf::Subflow. A tf::Subflow object will be created and forwarded to the execution context of the task. All methods you find in tf::Taskflow are applicable for tf::Subflow.

1: tf::Taskflow taskflow;
2: tf::Executor executor;
3:
4: tf::Task A = taskflow.emplace([] () {}).name("A"); // static task A
5: tf::Task C = taskflow.emplace([] () {}).name("C"); // static task C
6: tf::Task D = taskflow.emplace([] () {}).name("D"); // static task D
7:
8: tf::Task B = taskflow.emplace([] (tf::Subflow& subflow) {
9: tf::Task B1 = subflow.emplace([] () {}).name("B1"); // dynamic task B1
10: tf::Task B2 = subflow.emplace([] () {}).name("B2"); // dynamic task B2
11: tf::Task B3 = subflow.emplace([] () {}).name("B3"); // dynamic task B3
12: B1.precede(B3); // B1 runs bofore B3
13: B2.precede(B3); // B2 runs before B3
14: }).name("B");
15:
16: A.precede(B); // B runs after A
17: A.precede(C); // C runs after A
18: B.precede(D); // D runs after B
19: C.precede(D); // D runs after C
20:
21: executor.run(taskflow).get(); // execute the graph to spawn the subflow
22: taskflow.dump(std::cout); // dump the taskflow to a DOT format
class to create an executor for running a taskflow graph
Definition executor.hpp:50
tf::Future< void > run(Taskflow &taskflow)
runs a taskflow once
Definition executor.hpp:1573
Task emplace(C &&callable)
creates a static task
Definition flow_builder.hpp:742
class to construct a subflow graph from the execution of a dynamic task
Definition flow_builder.hpp:889
class to create a task handle over a node in a taskflow graph
Definition task.hpp:187
Task & precede(Ts &&... tasks)
adds precedence links from this to other tasks
Definition task.hpp:420
class to create a taskflow object
Definition core/taskflow.hpp:73
void dump(std::ostream &ostream) const
dumps the taskflow to a DOT format through a std::ostream target
Definition core/taskflow.hpp:363
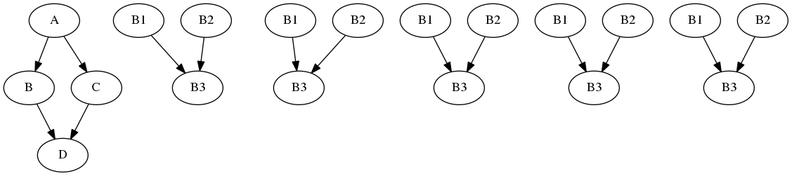
dot_subflow-join.png

Debrief:

  • Lines 1-2 create a taskflow and an executor
  • Lines 4-6 create three tasks, A, C, and D
  • Lines 8-14 create a task B that spawns a task dependency graph of three tasks B1, B2, and B3
  • Lines 16-19 add dependencies among A, B, C, and D
  • Line 21 submits the graph to an executor and waits until it finishes
  • Line 22 dumps the entire task dependency graph

Lines 8-14 are the main block to enable dynamic tasking. Taskflow uses a std::variant date type to unify the interface of static tasking and dynamic tasking. The runtime will create a tf::Subflow passing it to task B, and spawn a dependency graph as described by the associated callable. This new subflow graph will be added to the topology of its parent task B. Due to the property of dynamic tasking, we cannot dump its structure before execution. We will need to run the graph first to spawn the graph and then call tf::Taskflow::dump.

Join a Subflow

By default, a subflow joins its parent task when the program leaves its execution context. All nodes of zero outgoing edges in the subflow precede its parent task. You can explicitly join a subflow within its execution context to carry out recursive patterns. A famous implementation is fibonacci recursion.

int spawn(int n, tf::Subflow& sbf) {
if (n < 2) return n;
int res1, res2;
sbf.emplace([&res1, n] (tf::Subflow& sbf) { res1 = spawn(n - 1, sbf); } );
sbf.emplace([&res2, n] (tf::Subflow& sbf) { res2 = spawn(n - 2, sbf); } );
sbf.join(); // join to materialize the subflow immediately
return res1 + res2;
}
taskflow.emplace([&res] (tf::Subflow& sbf) {
res = spawn(5, sbf);
});
executor.run(taskflow).wait();
void join()
enables the subflow to join its parent task
Definition executor.hpp:1826

The code above computes the fifth fibonacci number using recursive subflow. Calling tf::Subflow::join immediately materializes the subflow by executing all associated tasks to recursively compute fibonacci numbers. The taskflow graph is shown below:

dot_fibonacci_7.png

Our implementation to join subflows is recursive in order to preserve the thread context in each subflow task. Having a deep recursion of subflows may cause stack overflow.

Detach a Subflow

In contract to joined subflow, you can detach a subflow from its parent task, allowing its execution to flow independently.

1: tf::Taskflow taskflow;
2:
3: tf::Task A = taskflow.emplace([] () {}).name("A"); // static task A
4: tf::Task C = taskflow.emplace([] () {}).name("C"); // static task C
5: tf::Task D = taskflow.emplace([] () {}).name("D"); // static task D
6:
7: tf::Task B = taskflow.emplace([] (tf::Subflow& subflow) {
8: tf::Task B1 = subflow.emplace([] () {}).name("B1"); // dynamic task B1
9: tf::Task B2 = subflow.emplace([] () {}).name("B2"); // dynamic task B2
10: tf::Task B3 = subflow.emplace([] () {}).name("B3"); // dynamic task B3
11: B1.precede(B3); // B1 runs bofore B3
12: B2.precede(B3); // B2 runs before B3
13: subflow.detach(); // detach this subflow
14: }).name("B");
15:
16: A.precede(B); // B runs after A
17: A.precede(C); // C runs after A
18: B.precede(D); // D runs after B
19: C.precede(D); // D runs after C
20:
21: tf::Executor executor;
22: executor.run(taskflow).wait(); // execute the graph to spawn the subflow
22: taskflow.dump(std::cout); // dump the taskflow to DOT format
void detach()
enables the subflow to detach from its parent task
Definition executor.hpp:1839

The figure below demonstrates a detached subflow based on the previous example. A detached subflow will eventually join the topology of its parent task.

dot_subflow-detach.png

Detached subflow becomes an independent graph attached to the top-most taskflow. Running a taskflow multiple times will accumulate all detached tasks in the graph. For example, running the above taskflow 5 times results in a total of 19 tasks.

executor.run_n(taskflow, 5).wait();
assert(taskflow.num_tasks() == 19);
taskflow.dump(std::cout);
tf::Future< void > run_n(Taskflow &taskflow, size_t N)
runs a taskflow for N times
Definition executor.hpp:1595
size_t num_tasks() const
queries the number of tasks
Definition core/taskflow.hpp:323

The dumped graph is shown as follows:

dot_subflow_detach_5.png

Create a Nested Subflow

A subflow can be nested or recursive. You can create another subflow from the execution of a subflow and so on.

1: tf::Taskflow taskflow;
2:
3: tf::Task A = taskflow.emplace([] (tf::Subflow& sbf){
4: std::cout << "A spawns A1 & subflow A2\n";
5: tf::Task A1 = sbf.emplace([] () {
6: std::cout << "subtask A1\n";
7: }).name("A1");
8:
9: tf::Task A2 = sbf.emplace([] (tf::Subflow& sbf2){
10: std::cout << "A2 spawns A2_1 & A2_2\n";
11: tf::Task A2_1 = sbf2.emplace([] () {
12: std::cout << "subtask A2_1\n";
13: }).name("A2_1");
14: tf::Task A2_2 = sbf2.emplace([] () {
15: std::cout << "subtask A2_2\n";
16: }).name("A2_2");
17: A2_1.precede(A2_2);
18: }).name("A2");
19: A1.precede(A2);
20: }).name("A");
21:
22: // execute the graph to spawn the subflow
23: tf::Executor().run(taskflow).get();
24: taskflow.dump(std::cout);
dot_nested_subflow.png

Debrief:

  • Line 1 creates a taskflow object
  • Lines 3-20 create a task to spawn a subflow of two tasks A1 and A2
  • Lines 9-18 spawn another subflow of two tasks A2_1 and A2_2 out of its parent task A2
  • Lines 23-24 runs the graph asynchronously and dump its structure when it finishes

Similarly, you can detach a nested subflow from its parent subflow. A detached subflow will run independently and eventually join the topology of its parent subflow.